Multiple Inheritance¶
Python also allows for a class to inherit from multiple base classes.
Adding to our existing BaseClass we can now define another class:
>>> class BaseClass:
... def __init__(self, name: str):
... self.name = name
... def say_hi(self):
... print(f"I'm {self.name} of type {type(self)}")
... def short_desc(self) -> str:
... return f"BaseClass({self.name})"
>>> class SecondBaseClass:
... def say_ho(self) -> str:
... return f"I don't have a name, but the type {type(self)}."
... def short_desc(self) -> str:
... return f"SecondBaseClass()"
Let’s create a class that inherits from both classes:
>>> class DoubleChildClass(BaseClass, SecondBaseClass):
... pass
As to expect, we can access the functions of both base classes:
>>> double_child = DoubleChildClass("double_child_foo")
>>> double_child.say_hi()
I'm double_child_foo of type <class 'DoubleChildClass'>
>>> double_child.say_ho()
"I don't have a name, but the type <class 'DoubleChildClass'>."
However, short_desc() is defined in both base classes.
What happens if we attempt to call short_desc()?
>>> double_child.short_desc()
'BaseClass(double_child_foo)'
If there are two base classes, the first base class is prioritized.
Method Resolution Order¶
What if the inheritance gets more complicated?
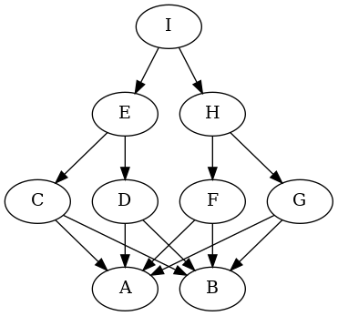
>>> class A: pass
>>> class B: pass
>>> class C(A, B): pass
>>> class D(A, B): pass
>>> class E(C, D): pass
>>> class F(A, B): pass
>>> class G(A, B): pass
>>> class H(F, G): pass
>>> class I(E, H): pass
Whose functions will be prioritized? The dependency graph is a puzzle:

But help is on the way:
>>> help(I)
Help on class I in module builtins:
class I(E, H)
| Method resolution order:
| I
| E
| C
| D
| H
| F
| G
| A
| B
| object
|
| Data descriptors inherited from A:
|
| __dict__
| dictionary for instance variables (if defined)
|
| __weakref__
| list of weak references to the object (if defined)
The method resolution order defines which base class comes next when looking for attributes and functions.
Python uses the C3 algorithm to linearize the dependency graph.